
讲明:本文采算科技先容了能带表面的界说、造成机制、中枢成见、执行探伤治安。布洛赫定理解释了能带的周期性和海潮形色散特征。文中还商酌了价带、导带、禁带等关节成见,以及绝缘体、半导体和导体的区别。此外,先容了载流子灵验质地、费米能级和态密度等蹙迫参数,并说起了ARPES和STM等能带结构的执行探伤技能。
什么是能带?
能带结构不绝通过“能带图”或“E-k图”来线路,它形色了电子的能量(E)与其波矢(k)之间的色散关系。
波矢k代表电子在晶格中的准动量,其取值限制被收尾在“第一布里渊区”的倒易空间区域内。E-k图揭示了电子在晶格的不同方进取理解时所允许的能量气象,是分析材料电子学和光学性质最直不雅的器具。

图1SnTe{001}名义态的能带图DOI:10.1038/ncomms1969
能带是如何造成的?
能带表面的起点是单个寂然孤身一人原子的电子能级。当大都原子(举例,阿伏伽德罗常数级别)规矩地摆列造成晶体时,原有的物理图像发生了根人性改动。
从龙套原子能级到一语气能带
在单个寂然孤身一人的原子中,电子被不停在原子核周围,其能量气象是量子化的,发扬为一系列龙套的能级。然则,当原子麇集造成固体晶格时,一个原子的外层电子会感受到来自相邻原子的势场影响。这种原子间的相互作用导致原来简并(能量不异)的原子能级发陌生裂。
阐明量子力学,当N个原子相互围聚时,每一个龙套的原子能级会分裂成N个相当接近的能级。在宏不雅固体中,N是一个弘大的数字,这N个分裂后的能级能量差变得极小,甚而于它们在能量上造成了一个准一语气的能量限制,这个限制等于“能带”。

图2 跟着原子数量的加多,从单独轨说念(龙套能级)到固体晶格材料能带。
能带图中错误的造成
当两个原子的外层电子挥霍接近时,它们的气象会因相互作用而发生能量更动。这种气候导致了键合态和反键态的造成,其中键合态的能量裁汰,而反键态的能量加多,未被能量更动的态被称为非键合态。当N个原子相互围聚造成固体时,这些键合、反键和非键合气象造成了带隙。

图3(a)原子轨说念通过轨说念重迭造成(b)分子能带的演变经由。轨说念重迭导致固态体中造成能带(价带;导带)。价带和导带之间可能被带隙分隔,该区域不存在职何电子态。
能带的海潮形色散
Bloch定理与周期性势场
布洛赫定理假定晶体是无尽的、均匀的,何况除了Pauli摒弃作用外,电子之间莫得相互作用。
布洛赫定理(Bloch’s Theorem):在周期性势场(由摆列整皆的原子核提供)V(r)=V(r+R)(R为晶格矢量)中,单电子Schrödinger方程的解具有独特模式:

它是一个平面波eik·r与一个具有晶格周期性的函数uk(r)的乘积,其中k为波矢。Bloch函数中的uk(r)粗野与势场不异的周期性,即uk(r+R)=uk(r)。这意味着电子波函数是一个被晶格周期调制的平面波,即波的参数(如振幅)进行变化的平面波。

图4单层FeSe/SrTiO3在不同磁序下自旋的能带图。DOI:10.1088/1367-2630/16/3/033034
该定理的一个径直论断是,开云官方体育app官网能量本征值E(K)在倒易空间中呈现周期性重复,即En(K+G)=En(K),其中G为倒格矢。
因此,能带结构En(K)不绝被敛迹在第一布里渊区等勤俭区内进行形色,单元晶格的倒易晶格被称为第一布里渊区,这被称为勤俭布里渊区图式。按照通例,布里渊区内的点用希腊字母线路,而鸿沟上的点使用拉丁字母线路。

图5SnTe(a)晶体结构和(b)布里渊区。DOI:10.1038/ncomms1969
下图为一维原子链的电子能带结构,其中晶格常数为a,其色散模式为:

虚线线路在莫得周期性势场的情况下,以k=0,±2π/a为中心的重复抛物线,线路为在势阱中粒子的薛定谔方程解,由能量本征值给出。
实线线路由于非零傅里叶总计(UG)导致的布里渊区鸿沟(±π/a)近邻能带分裂的情况。关于一个简直解放的电子,在恒定势场中,能量和动量不错同期守恒,EasyGame这不错通过添加一个倒易晶格向量G来收尾。

图6(a)和(b)表露了具有周期性a的一维周期晶格在k空间中电子能带色散的简便暗示图。
布洛赫定理极地面简化了问题,将原来需要求解N个电子的复杂问题,调养为了在第一布里渊区内求解不同波矢k对应的电子能量E(K)的问题。
周期性势场导致的波函数干预
能带在勤俭区内呈现出的“海潮”状色散关系,其物理根源在于晶格势场对电子波的散射,终点是在布里渊区鸿沟处,这种散射会导致能级劈裂和能隙的造成。
当电子波在晶格中传播时,会在每个原子位置发生散射。当波矢粗野布拉格条款K=1/2G(即布里渊区鸿沟)时,前向波与后向散射波发生相长干预,造成驻波。两种驻波模式(波腹位于原子核位置和波节位于原子核位置)具有不同的势能期许值,导致能量分裂造成能隙。

图7 原子势的变化改动了色散(能量–波矢关系),这可能导致在Γ点或一维情况下的带边际k=±1/2G处出现能隙。
能带结构的中枢成见
价带、导带与禁带(能隙)
阐明电子的填充情况,能带被分为几类关节区域:
价带(Valence Band):在实足零度下,被价电子完全填满的能量最高的能带。价带中的电子不毫不参与导电。
导带(Conduction Band):位于价带之上,在实足零度下不绝是空的或部分填充的最拙劣带。当电子被激励到导带后,它才能在晶体中解放出动,造成电流。
禁带或能隙(Band Gap):位于价带顶和导带底之间的一个能量区间,在这个区间内不存在职何允许的电子态。禁带的宽度(Eg)是决定材料电学性质的关节参数。

图8 (a)硼化物(P6m2)和(b)氧化铋(P4/nmm)单层的最高价带结构和最低导带。费米能被设定为零。DOI:10.1016/j.cpc.2021.108033
绝缘体、半导体、导体
{jz:field.toptypename/}绝缘体:具有很宽的禁带(不绝 >3 eV),价带被完全填满,导带完全为空。电子很难从价带跃迁到导带。
半导体:禁带宽度较窄(不绝0.1-3 eV),在室温下,部分电子不错通过热激励从价带跃迁到导带,从而具有一定的导电才智。
导体:莫得禁带,导带与价带发生重迭,或者最高填充能带莫得被完全填满。存在大都解放电子,因此导电性极好。

图9 绝缘体、导体和半导体中的轨说念能带
载流子灵验质地
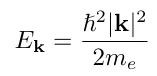
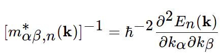
在晶体周期性势场中理解的电子,其四肢不同于在真空中理解的解放电子。为了简化形色,引入了“灵验质地”(Effective Mass,m*)的成见。灵验质地反应了能带的波折进程,它不错通过能量E对波矢k的二阶导数来盘算推算:

n是能带指数,K是电子波矢量,α和β是笛卡尔标的(x,y和z),而ℏ是约化普朗克常数。
能带越平坦(曲率越小),灵验质地越大;能带越笔陡(曲率越大),灵验质地越小。灵验质地是决定载流子挪动率、电导率和态密度等关节输运性质的蹙迫参数。

图10 不同灵验质地能带图
费米能级
费米能级是在实足零度时电子占据的最高能级。费米能级联系于能带的位置决定了材料的导电性质。费米面等于能量等于费米能级的等能面。

图11 在金属中,费米能级位于一个能带内。在半金属中,价带和导带在费米能级处略有重迭(I)或莫得(II)。在半导体(以及绝缘体)中,费米能级位于一个能量错误内。https://theses.hal.science/tel-01900468v1

图12(a)Cu的费米名义(b)Cu-s态、(c)Cu-p态和(d)Cu-d态的轨说念分辨费米名义区分用FermiSurfer软件包可视化,热情线路各态的权重。DOI:10.1016/j.cpc.2021.108033
态密度
单元能量断绝内的量子态数量,是集合能带结构与宏不雅物理量的桥梁。

图13(a)BiClO(P4/nmm)和(b)石墨烯单层的投影能带结构(左面板)和态密度(右面板)。费米能级设为0 eV。DOI:10.1016/j.cpc.2021.108033
如探伤能带结构?
角分辨光电子能谱(ARPES)
这是当今最径直、最刚劲的探伤体相和名义能带结构的执行技能。其旨趣基于光电效应:用一束单色光子(不绝是紫外或X射线)映照样品,使电子被激励出来。
通过同期测量出射电子的动能和角度,不错反推出电子在离开晶体前在材料里面的能量和准动量(k矢量),从而径直绘图出E-k能带色散关系图。

图14 (a)用于ARPES测量的二维探伤器的暗示图,表露了光电子随不同动能和辐射标的的不同轨迹。(b)标的K和Г(c)垂直于K和Г的标的的布里渊区中的狄拉克锥。
扫描结净显微镜(STM)
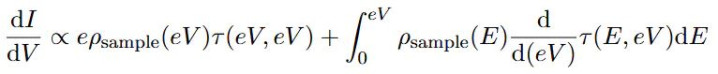
STM大致提供原子级分辨率的名义容颜图像。而通过扫描结净谱(STS)技能,即测量隧穿电流随偏压的变化(dI/dV),不错取得与样品名义局域电子态密度(LDOS)成正比的谱图。

通过分析STS谱,不错精准细则名义能隙的大小、费米能级位置以及杂质或颓势引入的局域电子态。

图15STM得到三维的数据集:两个空间维度(x,y)和能量E。(b)容颜(c)dI/dV映射(d)I/V谱:在单个点上测量样品名义的电流与偏压电压的关系。(e)dI/dV谱:在样品名义沿一条线上的多个点测量气象密度与能量的关。